Displaying 11 - 20 of 96
ECG Noise Extraction Tool (ECGNExT)
Categories:
Lab Method
A method to estimate device-specific noise from ECG records for algorithm testing
Electrophysiological Biomarkers for Non-clinical Safety Evaluation of Neuro-interventional Devices
Categories:
Lab Method
Non-clinical biomarkers of brain injury derived from epidermal and epidural electroencephalographs
Program Areas:
Neurology
Endoscope Geometric Distortion- A Method for Quantitative Evaluation
Categories:
Lab Method
A mathematically easy to understand and experimentally simple method to quantitatively and objectively evaluate endoscope geometric distortion
Program Areas:
Medical Imaging and Diagnostics
Extractables Screening Protocols for Fused Filament Fabricated ABS Containing Additive-manufactured Devices
Categories:
Lab Method
A tool to determine the extractables profile of additive-manufactured orthopedic casts produced by fused filament fabrication method
Gravity Flow Rate Testing in Enteral Tube
Categories:
Lab Method
A Method Using 3D Printed Surrogate G-Tubes and Newtonian Analog Fluids to Compare the Flow Rates with Commercial Diets in G-Tubes with the New ISO 80369-3 Connector
Human Shoulder Finite Element Model
Categories:
Computer Model
A finite element model of the human shoulder for simulating humeral abduction and calculating outputs such as contact force, contact pressure, contact area, stress, and strain.
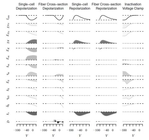
Identifiability of Cardiac Electrophysiology Models
Categories:
Computer Model
An approach for optimal experimental design and estimability analysis for mechanistic models of cardiac electrophysiology to determine their ‘identifiability’
Program Areas:
Cardiovascular
iMRMC: Software to do Multi-reader Multi-case Statistical Analysis of Reader Studies
Categories:
Computer Model
This regulatory science tool presents a computer model to assist investigators with analyzing and sizing multi-reader multi-case (MRMC) reader studies that compare the difference in the area under Receiver Operating Characteristic curves (AUCs) from two modalities.
Infrared Thermographs- Methods for Evaluating Laboratory Performance
Categories:
Lab Method
Best practices for standardized performance testing of infrared thermographs intended for fever screening
Program Areas:
Medical Imaging and Diagnostics
LCD-CT: Low-contrast Detectability (LCD) Test for Assessing Advanced Nonlinear CT Image Reconstruction and Denoising Methods
Categories:
Lab Method
Tool for assessing image quality of advanced nonlinear CT image reconstruction and denoising products, including but not limited to statistical iterative, model-based iterative, and deep learning-based methods
Program Areas:
Medical Imaging and Diagnostics